Product
소개
Protein Modification Reagents
Protein modification reagents are useful for adding labels to or blocking functional groups on proteins, peptides, and other molecules. SATA, HPG, Traut's Reagent and Sulfo-NHS-Acetate are some of the best and most effective protein modification reagents available.
1. SATA
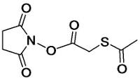
SATA protein modifier (N-Succinimidyl S-Acetylthioacetate) is a protein modification reagent used to convert primary amine groups into protected sulfhydryls (thiol; -SH) for later reaction with sulfhydryl reactive crosslinkers such as Sulfo-SMCC, Sulfo-MBS, etc. The sulfhydryl is readily made available for use in subsequent reactions after exposure to Hydroxylamine. After the simple deprotection step is performed to create the thioacetylated peptide, the free sulfhydryl containing peptide can then be conjugated to make a hapten-carrier conjugate, polymer, etc.

• Molecular Weight: 231.23
• Spacer Length: 2.8 ÅCAS Number: 76931-93-6
• Alternative Names: N-Succinimidyl-S-Acetyl-Thioacetate; S-Acetylthioglycolic acid N-hydroxysuccinimide ester; N-Succinimidyl (acetylthio)acetate; N-Succinimidyl S-acetylthioglycolate; S-Acetylthioglycolic acid NHS ester
☞ SATA Protein Modification Protocol & Product Information Sheet
2. Sulfo-NHS-Acetate
Sulfo-NHS-Acetate acylating agent (Sulfosuccinimidyl Acetate) is water soluble. Sulfo-NHS-Acetate irreversibly reacts with and blocks primary amines, such as in lysine, at pH greater than 7 to yield the acylated form. Using Sulfo-NHS-Acetate prevents polymerization when performing protein crosslinking reactions. Other Sulfo-NHS-Acetate uses include polymerization prevention when conjugating hapten peptides to carrier proteins for immunogen production.

• Molecular Weight: 259.17
• Spacer Length: 2.8 Å
• CAS Number: 152305-87-8
• Alternative Names: 1-acetyloxy-2,5-dioxopyrrolidine-3-sulfonic acid; 3-Pyrrolidinesulfonic acid, 1-hydroxy-2,5-dioxo-; 3-Sulfosuccinimid-1-yl acetate; 3-Sulfosuccinimid-1-yl acetate; 1-acetyloxy-2,5-dioxopyrrolidine-3-sulfonic acid
☞ Sulfo-NHS-Acetate Protocol & Product Information Sheet
3. Traut's Reagent (2-Iminothiolane)
Traut's Reagent (2-Iminothiolane HCl) is commonly used to convert primary amines into sulfhydryl groups in a one-step process is called thiolation. Traut's Reagent is water soluble. This protein modification reagent is amino reactive at pH 7-10 and is also an effective thiolation reagent for polysaccharides. In addition, Traut's Reagent is a useful RNA-protein crosslinking reagent.

• Molecular Weight: 137.63
• Spacer Length: 8.1 Å
• CAS Number: 4781-83-3
• Alternative Names: 2-Iminothiolane HCl; 2-Iminothiolane hydrochloride; 2-Iminothiolane; 2-IT; Trauts reagent
4. HPG
HPG (p-Hydroxyphenylglyoxal) is a protein modification reagent that reacts with arginine residues to give a large increase in absorbance at approximately 340 nm. HPG is a better choice for amino acid side chain modification due to its increased water solubility over phenylglyoxal and improved oxidation resistance over p-nitrophenylglyoxal.

• Molecular Weight: 168.15
• Chemical Formula: C8H6O3
• CAS Number: 24645-80-5
• Alternative Names: p-Hydroxyphenylglyoxal monohydrate; 4-hydroxyphenylglyoxal; (P-Hydroxyphenyl)Glyoxal; Benzeneacetaldehyde, 4-hydroxy-alpha-oxo-
☞ HPG Product Information Sheet & General Protocol
5. Iodoacetic Acid
Iodoacetic Acid is ≥ 99.0% pure. Iodoacetic acid is used for the modification and alkylation of sulfhydryls (-SH) in cysteine residues found in proteins and peptides.

• Molecular Weight: 185.95
• CAS Number: 64-69-7
• Linear Formula: ICH2CO2H
• Alternative Names: Iodoacetate; 2-Iodoacetic Acid; IA; Iodoethanoic Acid; Monoiodoacetate; Monoiodoacetic acid; MIA
6. BMPA
BMPA Modifier (N-ß-Maleimidopropionic acid) can be used as a protein crosslinker or sulfhydryl (-SH) to carboxylic acid (-COOH) modification reagent. As a protein modifier, BMPA is used to modify sulfhydryl groups at pH 6.5-7.5 to terminal carboxyl groups. BMPA protein modification makes -COOH groups for subsequent coupling via EDC crosslinking. As a protein crosslinker, BMPA can be used for the preparation of protein conjugates. The maleimide and carboxyl reactive groups of BMPA crosslinker are reactive toward sulfhydryls and hydrazides/amines, respectively.

• Spacer Arm Length: 5.9 Å
• Molecular Weight: 169.13
• CAS Number: 7423-55-4
• Chemical Formula: C7H7NO4
• Alternative Names: beta-Maleimidopropionic Acid; b-Maleimidopropionic Acid; 3-Maleimidopropionic Acid
주문정보
| Cat.No | Product | Quantity |
| m3100-100mg | SATA Protein Modifier | 100 mg |
| m3100-1gm | SATA Protein Modifier | 1 gram |
| m3102-100mg | Sulfo-NHS-Acetate | 100 mg |
| m3102-1gm | Sulfo-NHS-Acetate | 1 gram |
| m3103-500mg | Traut's Reagent (2-Iminothiolane) | 500 mg |
| m3103-500mg | Traut's Reagent (2-Iminothiolane) | 1 gram |
| m3101-100mg | HPG | 100 mg |
| m3101-1gm | HPG | 1 gram |
| m3104-1gm | Iodoacetic Acid | 1 gram |
| m3105-100mg | BMPA Modifier | 100 mg |
| m3105-100mg | BMPA Modifier | 100 mg |