인성크로마텍 로고

검색버튼
퀵메뉴 펼침

o
p
e
n
c
l
o
s
e

Heterobifunctional Crosslinkers
제품명: Heterobifunctional Crosslinkers
용도: Protein Crosslinkers
메이커: ProteoChem
카달로그:


소개

 

Heterobifunctional Crosslinkers


Heterobifunctional crosslinkers are probably the most notable and useful protein crosslinking reagents because they have two distinct reactive groups. This allows the protein conjugation reaction to progress in a controlled, two-step reaction; thereby avoiding the formation of dimers and polymers while crosslinking proteins.

 


Heterobifunctional Crosslinker Selection Guide


Heterobifunctional Crosslinkers.PNG

 

 

 

1.  ANB-NOS

 

ANB-NOS crosslinker (N-5-Azido-2-nitrobenzoyloxysuccinimide) is a heterobifunctional protein crosslinker with a spacer arm length of 7.7 angstroms. The ANB-NOS crosslinking reagent contains an NHS ester that reacts with primary amines and a nitrophenylazide group that is photoreactive at 320-350 nm toward amino groups. ANB-NOS photoreactive crosslinker is not immediately water soluble.

 

ANB-NOS-crosslinker-structure.gif


•  Molecular Weight: 305.2

•  Spacer Length: 7.7 Å

•  CAS Number: 60117-35-3

•  Alternative Names: 5-Azido-2-nitrobenzoic acid N-hydroxysuccinimide ester; N-(5-Azido-2-nitrobenzoyloxy)succinimide; N-Succinimidyl 5-azido-2-nitrobenzoate 

 

 


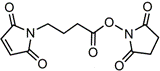
2.  BMPS

 

BMPS crosslinker, N-(ß-Maleimidopropyloxy)succinimide ester, is a non-cleavable, water insoluble, heterobifunctional protein crosslinker that is commonly used to crosslink haptens to carrier proteins and enzymes to antibody. The BMPS protein crosslinker's spacer arm length of 5.9 angstroms is the shortest of the C3 homolog of aliphatic spacer series (see also EMCS crosslinker and GMBS). The BMPS crosslinker's NHS ester and maleimide reactive groups react with amino and sulfhydryl moites, respectively. For maleimide and carboxyl reactive groups, the BMPS crosslinking reagent analog BMPA may be a good choice for your studies. 

 

BMPS.gif

 

•  Molecular Weight: 266.2

•  Spacer Length: 5.9 Å

•  CAS Number: 55750-62-4

•  Alternative Names: BMPS cross-linker; N-(beta-Maleimidopropyloxy)succinimide ester; N-(b-Maleimidopropyloxy)succinimide ester; N-Succinimidyl 3-maleimidopropionate; 3-Maleimidopropionic acid N-hydroxysuccinimide ester 

 

 

 

3.  EMCS


EMCS crosslinking reagent, N-(e-Maleimidocaproyloxy)succinimide ester, is a non-cleavable, water insoluble, heterobifunctional protein crosslinker that is commonly used to crosslink haptens to carrier proteins and enzymes to antibody. The EMCS protein crosslinking reagent's spacer arm length is 9.4 angstroms and is longer than GMBS crosslinking reagent. EMCS crosslinking reagent's NHS ester and maleimide reactive groups react with amino and sulfhydryl moites, respectively.

 

EMCS-crosslinker-structure.gif


•  Molecular Weight: 308.29

•  Spacer Length: 9.4 Å

•  CAS Number: 55750-63-5

•  Alternative Names: N-(epsilon-Malaimidocaproyloxy) succinimide; 6-maleimidohexanoic acid N-hydroxysuccinimide ester 

 

 

 

4.  GMBS


GMBS crosslinking reagent, N-(Gamma-Maleimidobutyryloxy) Succinimide, is a non-cleavable, water insoluble, heterobifunctional protein crosslinker. GMBS crosslinking reagent is commonly used to crosslink haptens to carrier proteins or enzymes to antibody. GMBS crosslinking reagent's short spacer arm length of 7.3 angstroms and is less immunogenic than the MBS crosslinking reagent analog. GMBS crosslinking occurs via NHS ester and maleimide reactive groups which react with amino and sulfhydryl moites, respectively.


 

GMBS-crosslinker-structure.gif


•  Molecular Weight: 280.23

•  Spacer Length: 7.3 Å

•  CAS Number: 80307-12-6

•  Alternative Name: 4-Maleimdobutyric acid N-succinimidyl ester 

 

 

 

5.  LC-SPDP


Succinimidyl 6-(3-[2-pyridyldithio]-propionamido)hexanoate (LC-SPDP) is a cleavable, water insoluble, amino and thiol (sulfhydryl) reactive heterobifunctional crosslinking reagent. The "long chain" LC-SPDP crosslinking reagent has a 15.7 angstrom spacer arm, compared to the shorter 6.8 angstrom spacer arm version of SPDP crosslinker. Often, due to steric hindrances, it is desirable to empirically test which of the two versions will work best in your specific application.


LC-SPDP crosslinking reagent's reactive moites consist of an N-hydroxysuccinimide (NHS) ester that reacts with primary amines, as found in lysine side chains. While on the other end of the LC-SPDP crosslinking reagent pyridinyldisulfide reacts with sulhydryls to yield a reversible disulfide bond. 

 

LC-SPDP.gif

 

•  Molecular Weight: 425.5

•  Spacer Length: 15.7 Å 

 

 

 

6.  MBS


MBS (m-Maleimidobenzoyl-N-hydroxysuccinimide ester) is a non-cleavable, water insoluble, heterobifunctional crosslinking reagent that is commonly used for crosslinking haptens to carrier proteins and enzymes to antibody. MBS crosslinking reagent's NHS ester and maleimide reactive groups react with amino and sulfhydryl moites, respectively. Sulfo-MBS is the water soluble analog of MBS crosslinking reagent and is a convenient choice if you do not wish to use organic solvents to solubilize MBS.

 

mbs-crosslinker-structure.gif


•  Molecular Weight: 314.3

•  Spacer Length: 7.3 Å

•  CAS Number: 58626-38-3Alternative Names: 3-Maleimidobenzoic acid N-hydroxysuccinimide ester; meta-Maleimidobenzoyl-N-hydroxysuccinimide ester 

 

 

 

7.  PDPH


3-(2-Pyridyldithio)propionyl hydrazide (PDPH crosslinking reagent) is a cleavable, heterobifunctional protein crosslinker. PDPH crosslinking reagent's hydrazide group selectively reacts with oxidized carbohydrates (or carboxyls when used with EDC); while the pyridinyldisulfide moity is reactive toward reduced thiols (sulfhydryls; -SH). Thus, PDPH linker is an excellent choice for crosslinking glycoproteins and other polysaccharides.


Additionally, PDPH crosslinking reagent's pyridyldisulfide group contains a cleavable disulfide (-S-S-) bond which exposes a thiol moity that can be further reacted with, for example, a maleimide containing crosslinker.

PDPH is soluble at 14.2 mg/mL in pH 5.5 0.1 M Sodium Acetate.


PDPH-crosslinker-structure.gif


•  Molecular Weight: 229.32

•  Spacer Length: 9.2 Å 

 

☞   PDPH Crosslinking Protocol & Product Information Sheet

 

 

 

8.  SBA


SBA crosslinking reagent (N-Succinimidyl bromoacetate) is a sulfhydryl (thiol) and amino reactive heterobifunctional crosslinking reagent. SBA crosslinker is non-cleavable and is among the shortest amine and sulfhydryl reactive crosslinkers known with a spacer arm length of 1.5 Angstroms.

 

SBA.gif

 

•  Molecular Weight: 236.02

•  Spacer Length: 1.5 Å

•  CAS Number: 42014-51-7

•  Alternative Name: Bromoacetic acid N-hydroxysuccinimide ester; Succinimidyl bromoacetate 

 



9.  SIA


SIA crosslinker (N-Succinimidyl iodoacetate; NHS-Iodoacetate) is a non-cleavable, heterobifunctional protein crosslinker. The SIA crosslinker reagent is among the shortest amine and sulfhydryl (thiol) reactive protein crosslinkers known with a spacer arm length of 1.5 Angstroms.

 

SIA.gif


•  Molecular Weight: 283.02

•  Spacer Length: 1.5 Å

•  CAS Number: 39028-27-8

•  Alternative Names: SIA cross-linker; Iodoacetic acid N-hydroxysuccinimide ester; Succinimidyl iodoacetate; NHS-Iodoacetate 

 

 

 

10.  Sulfo-SIA


N-Sulfosuccinimidyl iodoacetate (Sulfo-SIA crosslinking reagent) is a non-cleavable, heterobifunctional protein crosslinker. Sulfo-SIA is water soluble. Sulfo-SIA Crosslinking Reagent is among the shortest amine and sulfhydryl (thiol) reactive crosslinkers known with a spacer arm length of 1.5 Angstroms.

 


Sulfo-SIA.png

 

•  Molecular Weight: 385.07

•  Spacer Length: 1.5 Å

•  CAS Number: N/A

•  Alternative Names: N-Sulfosuccinimidyl iodoacetate; Iodoacetic acid N-hydroxysulfosuccinimide ester; Sulfosuccinimidyl iodoacetate 

 

☞   Sulfo-SIA Crosslinker Product Information Sheet

 

 

 

11.  SMCC


Succinimidyl-4-(N-maleimidomethyl)cyclohexane-1-carboxylate (SMCC) is a heterobifunctional crosslinker with a maleimide group that is sulfhydryl (thiol; -SH) reactive and a NHS ester that is amine reactive. SMCC crosslinking reagent must be dissolved in an organic solvent, such as DMSO or DMF, and then can be added to an aqueous crosslinking reaction. SMCC crosslinking reagent is permeable across the lipid bilayer of the cell membrane and can be used to crosslink intracellular proteins and peptides. SMCC crosslinking reagent is permeable across the lipid bilayer of the cell membrane. The 9 atom spacer arm of SMCC is not cleavable. 

 

smcc-crosslinker.gif

 

•  Molecular Weight: 334.32

•  Spacer Length: 8.3 ÅCAS Number: 64987-85-5

•  Alternative Names: 4-(N-Maleimidomethyl)cyclohexanecarboxylic acid N-hydroxysuccinimide ester; N-Succinimidyl 4-(maleimidomethyl)cyclohexanecarboxylate; Succinimidyl trans-4-(N-maleimidylmethyl)cyclohexane-1-carboxylate 

 

☞   SMCC Product Information Sheet & General Protocol

 

 

 

12.  SMPB


SMPB crosslinker (N-Succinimidyl 4-[4-maleimidophenyl]butyrate) is a heterobifunctional protein crosslinking reagent that is reactive toward sulfhydryl and amino groups. SMPB crosslinker's spacer arm is non cleavable. The SMPB protein crosslinker is an extended chain length analog of MBS crosslinker.



SMPB-crosslinker.gif


•  Molecular Weight: 356.3

•  Spacer Length: 11.6 Å

•  CAS Number: 79886-55-8

•  Alternative Names: 4-(4-Maleimidophenyl)butyric acid N-hydroxysuccinimide ester; SMPB Cross-linker 

 

 

 

13.  SMPH


SMPH crosslinker (Succinimidyl-6-[ß-maleimidopropionamido]hexanoate) is a water insoluble, heterobifunctional protein crosslinker with a non-cleavable spacer arm length of 14.3 angstroms. The SMPH crosslinking reagent has maleimide groups which are reactive to thiols (sufhydryls; -SH) and its NHS ester groups react with amines at pH 6.5-7.5 and 7-9, respectively.

 

SMPH-crosslinker-structure.gif


•  Molecular Weight: 379.36

•  Spacer Length: 14.3 Å

•  CAS Number: 367927-39-7

•  Alternative Names: Succinimidyl 6-[(3-maleimido)propionamido]-hexanoate; Succinimidyl-6-(beta-maleimidopropionamido)hexanoate 

 

 

 

14.  SPDP


Sulfo-LC-SPDP protein crosslinking reagent, Sulfosuccinimidyl 6-(3'-[2-pyridyldithio]-propionamido)hexanoate, is one of three SPDP variants produced by ProteoChem (LC-SPDP is the other). Sulfo-LC-SPDP is a cleavable, water soluble, amino and thiol (sulfhydryl) reactive heterobifunctional protein crosslinker. The "long chain" Sulfo-LC-SPDP crosslinking reagent has a 15.7 angstrom spacer arm, and is the water soluble analog of LC-SPDP crosslinker.


Sulfo-LC-SPDP crosslinker's reactive groups include N-hydroxysulfosuccinimide (Sulfo-NHS) ester that reacts with primary amines, as found in lysine side chains; while on the other end of the Sulfo-LC-SPDP crosslinking molecule pyridinyldisulfide reacts with sulhydryls to yield a reversible disulfide bond. The disulfide bond can be reduced with TCEP-HCl or DTT to reverse the crosslinked proteins.

 

SPDP-crosslinker-structure.gif

 

•  Molecular Weight: 312.36

•  Spacer Length: 6.8 Å

•  CAS Number: 68181-17-9

•  Alternative Names: 3-(2-Pyridyldithio)propionic acid N-hydroxysuccinimide ester; SPDP Cross-Linker

 

☞   Sulfo-LC-SPDP Crosslinker Protocol & Product Information Sheet

 



15.  Sulfo-LC-SPDP


Sulfosuccinimidyl 6-(3'-[2-pyridyldithio]-propionamido)hexanoate (Sulfo-LC-SPDP) is a cleavable, water soluble, amino and thiol (sulfhydryl) reactive heterobifunctional crosslinking reagent. The "long chain" Sulfo-LC-SPDP crosslinking reagent has a 15.7 angstrom spacer arm, and is the water soluble analog of LC-SPDP crosslinking reagent.


Sulfo-LC-SPDP crosslinking reagent's reactive moites consist of an N-hydroxysulfosuccinimide (Sulfo-NHS) ester that reacts with primary amines, as found in lysine side chains. While on the other end of the Sulfo-LC-SPDP crosslinking molecule pyridinyldisulfide reacts with sulhydryls to yield a reversible disulfide bond. 

 

SULFO-LC-SPDP-crosslinker-structure.gif

 

•  Molecular Weight: 527.57

•  Spacer Length: 15.7 Å 

 

☞   Sulfo-LC-SPDP Crosslinker Protocol & Product Information Sheet

 

 

 

16.  Sulfo-MBS


Sulfo-MBS crosslinking reagent (m-Maleimidobenzoyl-N-hydroxysulfosuccinimide ester) is a non-cleavable, water soluble, heterobifunctional crosslinker that is commonly used to crosslink haptens to carrier proteins and enzymes to antibody. Sulfo-MBS crosslinking reagent's NHS ester and maleimide reactive groups react with amine and sulfhydryl moites, respectively. MBS crosslinking reagent is the water insoluble analog of Sulfo-MBS crosslinking reagent which is also offered by ProteoChem.

 

sulfo-mbs-crosslinker.gif


•  Molecular Weight: 416.3

•  Spacer Length: 7.3 Å

•  Alternative Names: 3-Maleimidobenzoic acid N-hydroxysulfosuccinimide ester; meta-Maleimidobenzoyl-N-hydroxysulfosuccinimide ester 

 

 

 

17.  Sulfo-SANPAH


N-Sulfosuccinimidyl-6-(4'-azido-2'-nitrophenylamino) hexanoate (Sulfo-SANPAH) is a water soluble, heterobifunctional crosslinker with a spacer arm length of 18.2 angstroms. It contains an NHS ester that reacts with primary amines and a nitrophenylazide group that is photoreactive at 320-350 nm toward amino groups. Sulfo-SANPAH crosslinker is immediately water soluble, whereas SANPAH crosslinker is not readily water soluble. 

 

Sulfo-SANPAH-crosslinker-structure.gif


•  Molecular Weight: 492.40

•  Spacer Length: 18.2 Å

•  CAS Number: 102568-43-4

•  Alternative Name: 1-[6-[(4-azido-2-nitro-phenyl)amino]hexanoyloxy]-2,5-dioxo-pyrrolidine-3-sulfonic acid 


☞  Sulfo-SANPAH Product Information Sheet & General Protocol

 

 

 

18.  Sulfo-SMCC


Sulfosuccinimidyl-4-(N-maleimidomethyl)cyclohexane-1-carboxylate (Sulfo-SMCC) packaged as one gram per vial. Sulfo-SMCC crosslinking reagent is a water soluble, heterobifunctional crosslinker. Sulfo-SMCC crosslinking reagent has an 8.3 angstrom non-cleavable spacer arm and its maleimide group reacts with sulfhydryls (thiols), while the Sulfo-NHS ester is reactive toward primary amines. Sulfo-SMCC crosslinking reagent can be used to label cell surface proteins. 

 

SMCC is the water insoluble analog of Sulfo-SMCC.

 

Sulfo-SMCC-crosslinker-structure.gif

 

•  Molecular Weight: 436.37

•  Spacer Length: 8.3 Å

•  CAS # 92921-24-9

•  Alternative Name: 4-(N-Maleimidomethyl)cyclohexane-1-carboxylic acid 3-sulfo-N-hydroxysuccinimide ester

 

☞   Sulfo-SMCC Protocol & Product Information Sheet

주문정보

Cat. No Product Quantity
c1134-100mg ANB-NOS  Crosslinker  100 mg
c1122-100mg BMPS  Crosslinker  100 mg
c1122-1gm BMPS  Crosslinker  1 gram
c1123-100mg EMCS  Crosslinker  100 mg
c1123-1gm EMCS  Crosslinker  1 gram
c1124-100mg GMBS  Crosslinker  100 mg
c1124-1gm GMBS  Crosslinker  1 gram
c1117-100mg LC-SPDP  Crosslinker  100 mg
c1117-1gm LC-SPDP  Crosslinker  1 gram
c1114-100mg MBS  Crosslinker  100 mg
c1114-1gm MBS  Crosslinker  1 gram
c1113-100mg PDPH  Crosslinker  100 mg
c1113-1gm PDPH  Crosslinker  1 gram
c1120-100mg SBA  Crosslinker  100 mg
c1120-1gm SBA  Crosslinker  1 gram
c1119-100mg SIA  Crosslinker  100 mg
c1119-1gm SIA  Crosslinker  1 gram
c1135-100mg Sulfo-SIA  Crosslinker  100 mg
c1135-1gm Sulfo-SIA  Crosslinker  1 gram
c1108-5x10mg SMCC  Crosslinker 5 x 10 mg
c1108-100mg SMCC  Crosslinker  100 mg
c1108-1gm SMCC  Crosslinker  1 gram
c1121-100mg SMPB  Crosslinker  100 mg
c1121-1gm SMPB  Crosslinker  1 gram
c1112-100mg SMPH  Crosslinker  100 mg
c1112-1gm SMPH  Crosslinker  1 gram
c1116-100mg SPDP  Crosslinker  100 mg
c1116-1gm SPDP  Crosslinker  1 gram
c1118-100mg Sulfo-LC-SPDP  Crosslinker  100 mg
c1118-1gm Sulfo-LC-SPDP  Crosslinker  1 gram
c1115-100mg Sulfo-MBS  Crosslinker  100 mg
c1115-1gm Sulfo-MBS  Crosslinker  1 gram
c1111-100mg Sulfo-SANPAH  Crosslinker  100 mg
c1111-1gm Sulfo-SANPAH  Crosslinker  1 gram
c1109-100mg Sulfo-SMCC  Crosslinker  100 mg
c1109-1gm Sulfo-SMCC  Crosslinker  1 gram