Product
소개
Homobifunctional Crosslinkers
Homobifunctional crosslinkers possess identical reactive groups at opposite ends of the crosslinker’s spacer arm. Homobifunctional protein crosslinkers have the advantage of being reacted in a one-step chemical crosslinking reaction. Homobifunctional crosslinkers can be used in the formation of protein dimers and protein polymers while crosslinking proteins.
Homobifunctional Crosslinker Selection Guide

1. BS2G
BS2G crosslinker (BS2G; Bis[Sulfosuccinimidyl] glutarate) is an amine-reactive, water soluble, homobifunctional protein crosslinker. The BS2G protein crosslinker's 5-atom (7.7 angstrom) spacer arm is non-cleavable and the molecule is not cell membrane permeable. The BS2G crosslinking reagent's Sulfo-NHS esters are amino reactive and can be used to label cell surface proteins. Also, the Sulfo-NHS esters of BS2G allow the crosslinking reaction to occur in aqueous solutions in near physiological conditions. DSG (Disuccinimidyl glutarate; Di(N-succinimidyl) glutarate) is the membrane permeable analog of BS2G.
BS2G is the light version (BS2G-d0), whereas BS2G-d4 is the heavy, deuterated analog and together they can be used for protein-protein interaction mapping using Liquid Chromatography–Mass Spectrometry (LCMS, LC/MS, LC-MS).

• Molecular Weight : 530.35
• Spacer Length : 7.7 Å
• Alternative Names : Glutaric acid bis(3-sulfo-N-hydroxysuccinimide ester); BS2G; Sulfo-DSG; BS2G cross-linker; BS2G-d0; BS2G-d0
☞ BS2G Product Information Sheet & General Protocol
2. BS3
BS3 crosslinker (Bis[sulfosuccinimidyl] suberate; Sulfo-DSS; BSSS) is an amine-reactive, water soluble, homobifunctional protein crosslinker. Due to BS3 crosslinking reagent's water solubility, conjugation reactions conveniently can take place at physiological conditions. The 8-atom spacer arm of the BS3 crosslinking reagent is non-cleavable and the molecule is not cell membrane permeable. The BS3 protein crosslinker possesses amino reactive Sulfo-NHS esters on both ends of the molecule and can be used to prepare antibody-protein conjugates, for crosslinking cell surface proteins, and for covalently orienting antibody to an immobilized Protein A or Protein G resin.

• Molecular Weight: 572.43
• Spacer Length: 11.4 Å
• CAS Number: 82436-77-9
• Alternative Names: Bis(sulfosuccinimidyl) suberate; Suberic acid bis(3-sulfo-N-hydroxysuccinimide ester); Bis(sulfosuccinimidyl)suberate; BS3; Sulfo-DSS; BS 3; BSSS
☞ BS3 Crosslinking Protocol & Product Information Sheet
3. DSG
DSG crosslinker (Disuccinimidyl glutarate; Di(N-succinimidyl) glutarate) is a homobifunctional crosslinking reagent that is membrane permeable. DSG protein crosslinker is often used in ChIP assays to determine DNA-protein binding interactions; using DSG and formaldehyde in a two-step cross-linking strategy greatly improves the ChIP assay.
DSG crosslinking takes place through amine-reactive NHS esters at both ends of a 5-atom (7.7 angstrom) spacer arm. DSG crosslinker must be dissolved in an organic solvent, such as DMSO or DMF, then added to an aqueous crosslinking reaction. The directly water soluble version of Di(N-succinimidyl) glutarate (DSG) is BS2G.

• Purity (NMR) : ≥ 97%
• Visual : White to off-white powder
• Melting Point : 144-148ºC
• Molecular weight : 326.26
• Spacer Length : 7.7 ÅCAS Number: 79642-50-5
• Alternative names : Di(N-succinimidyl) glutarate; Di-succinimidyl glutarate; Di N-succinimidyl glutarate; DSG Cross-linker; Bis-NHS glutarate; Disuccinimidyl glutaric dicarboxylate
☞ DSG Crosslinking Protocol & Product Information Sheet
4. DSP
Dithiobis(succinimidyl propionate) (DSP or DTSP) is a homobifunctional crosslinker that is cell membrane permeable. DSP has amine-reactive N-hydroxysuccinimide (NHS) esters at both ends of a cleavable, 8-atom (12.0 angstrom) spacer arm. DSP contains a reducible disulfide (thiol) bond in the spacer arm that make it a good choice for various applications.
DSP must be dissolved in an organic solvent, such as DMSO or DMF, then added to an aqueous crosslinking reaction. DSP can be used to crosslink intracellular proteins. If extracellular crosslinking is desired, then DTSSP, the water soluble analog of DSP can be used.

• Molecular Weight: 404.42
• Spacer Length: 12.0 Å
• CAS Number: 57757-57-0
• Alternative names: 3,3′-Dithiodipropionic acid di(N-hydroxysuccinimide ester); Lomant's Reagent; DTSP
☞ DSP Product Information Sheet & General Protocol
5. DSS
DSS crosslinker (Disuccinimidyl suberate) is a homobifunctional crosslinker that is cell membrane permeable. DSS cross links via NHS ester. DSS crosslinker has amine-reactive NHS esters at both ends of an 8-atom (11.4 angstrom) spacer arm that are used to conjugate proteins. The DSS crosslinking reagent must be dissolved in an organic solvent, such as DMSO or DMF, then added to an aqueous crosslinking reaction.
DSS crosslinker can be used to conjugate or crosslink intracellular proteins. If extracellular crosslinking is desired, then BS3, the water soluble analog of DSS (Disuccinimidyl suberate), can be used.
The heavy, deuterated version of Disuccinimidyl suberate is DSS-d4 for mass spec studies.

• Purity (NMR): ≥ 95% (typical lots are 99% pure)
• Visual: White to off-white powder
• Melting Point: 162-170ºC
• Molecular weight: 368.34
• Spacer Length: 11.4 ÅCAS Number: 68528-80-3
• Alternative names: Bis(succinimidyl) suberate; Suberic acid bis(N-hydroxysuccinimide ester); Disuccinimidyl suberate; Disuccinimidyl octanedioate; DSS cross link; DSS-d0: DSM6 X-linker
☞ DSS Crosslinker Protocol & Product Information Sheet
6. DSSeb
DSSeb crosslinker (Disuccinimidyl sebacate; Sebacic acid bis[N-hydroxysuccinimide ester]) is a homobifunctional crosslinking reagent which is cell membrane permeable. DSSeb crosslinker packaged as 100 mg per vial. DSSeb crosslinking takes place via amine-reactive NHS esters at both ends of a 10-atom (14.1 Angstrom) spacer arm. DSSeb must be dissolved in an organic solvent, such as DMSO or DMF, then added to an aqueous crosslinking reaction.

• Molecular weight: 396.39
• Spacer Length: 14.1 Å
• CAS Number: 23024-29-5
• Chemical Formula: C18H24N2O8
• Storage: Upon receipt store at 4°C (shipped at ambient temperature)
• Alternative names: Disuccinimidyl sebacate; Sebacic acid bis(N-hydroxysuccinimide ester); Di(N-succinimidyl) sebacate; DSM8 X-linker
☞ DSSeb Product Information Sheet
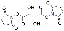
7. DST
DST crosslinker (Disuccinimidyl tartrate) is a homobifunctional, cleavable crosslinking reagent by oxidizing reagents. DST protein crosslinker has a cis-diol that is cleaved with 15 mM Sodium meta-Periodate. The DST crosslinking reagent contains two N-hydroxysuccimide (NHS) ester groups and is reactive toward primary amines (amino groups), such as found on lysine and the N-terminus. DST crosslinker is an excellent choice for applications in which crosslink cleavability is desired without disturbing protein disulfide bonds with reducing reagents. DST crosslinking reagent can be dissolved into an aqueous reaction.

• Molecular Weight: 344.24
• Spacer Arm: 6.4 Å
• CAS Number: 62069-75-4
• Alternative Names: DST Cross-linker; 2,5-Pyrrolidinedione, 1,1'-((2,3-dihydroxy-1,4-dioxo-1,4-butanediyl)bis(oxy))bis-, (R-(R*,R*))
8. DTSSP
3,3´-Dithiobis(sulfosuccinimidylpropionate) (DTSSP) is a homobifunctional crosslinker that is cell membrane impermeable. DTSSP has primary amine-reactive N-hydroxysulfosuccinimide (Sulfo-NHS) esters at both ends of a cleavable, 8-atom (12.0 angstrom) spacer arm. DTSSP contains a reducible disulfide (thiol) bond in the spacer arm that make it a good choice for various applications.
DTSSP is ideal for aqueous crosslinking reactions. DTSSP can be used to crosslink extracellular and membrane proteins. If intracellular crosslinking is desired, then DSP, the water insoluble analog of DTSSP can be used for your research.

• Molecular Weight: 608.51
• Spacer Length: 12.0 Å
• CAS Number: 81069-02-5
• Alternative names: 1-[3-[3-(2,5-dioxo-3-sulfopyrrolidin-1-yl)oxy-3-oxopropyl]disulfanylpropanoyloxy]-2,5-dioxopyrrolidine-3-sulfonic acid; Sulfo-DSP; DTBSSP
☞ DTSSP Crosslinker Product Information Sheet
9. EGS
EGS crosslinker, Ethylene glycolbis(succinimidylsuccinate), is a water insoluble homobifunctional crosslinker that must be dissolved in DMSO or DMF before addition to an aqueous reaction. EGS crosslinking takes place through amine-reactive NHS esters at both ends of a 16.1 angstrom spacer arm. The 12-atom spacer arm of the EGS crosslinking reagent is cleavable. EGS crosslinker's spacer arm is cleaved by hydroxylamine at pH 8.5 for 3-6 hours at 37°C. The EGS protein crosslinker possesses amino reactive NHS esters on both ends of the molecule and can be used to label intracellular proteins, since the molecule is cell membrane permeable. EGS crosslinker is often used in ChIP assays to determine DNA-protein binding interactions. The directly watersoluble analog is of EGS is Sulfo-EGS.

• Molecular Weight: 456.36
• Spacer Length: 16.1 Å
• CAS Number: 70539-42-3
• Alternative Names: Ethylene glycol bis (succinimidylsuccinate); Ethylene Glycol-Bis (Succinic Acid N-Hydroxysuccinimide Ester)
☞ EGS Crosslinker Product Information Sheet
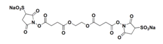
10. Sulfo-EGS
Sulfo-EGS crosslinker, Ethylene glycolbis(sulfosuccinimidylsuccinate), is a water soluble homobifunctional crosslinker. The 12-atom spacer arm of the Sulfo-EGS crosslinking reagent is cleavable. The Sulfo-EGS spacer arm is cleaved by hydroxylamine at pH 8.5 for 3-6 hours at 37°C. The Sulfo-EGS protein crosslinker possesses amino reactive Sulfo-NHS esters on both ends of the molecule and can be used to label cell surface proteins, since the molecule is not cell membrane permeable.

• Molecular Weight: 660.45
• Spacer Length: 16.1 Å
• CAS Number: 167410-92-6
• Alternative Names: Ethylene glycol bis(sulfosuccinimidylsuccinate); Ethylene Glycol-Bis (Succinic Acid N-Hydroxysulfosuccinimide Ester); Bis(sulfo-N-succinimidyl) ethylene glycol disuccinate; Ethylene glycol disuccinate bis(sulfo-N-succinimidyl) ester
☞ Sulfo-EGS Product Information Sheet
11. DTME
DTME Crosslinker (dithiobismaleimidoethane; Dithio-bis-maleimidoethane) is a homobifunctional and cleavable crosslinker that is cell membrane permeable. DTME Crosslinker has sulfhydryl-reactive maleimides at both ends of a cleavable, 11-atom (13.3 angstrom) spacer arm, and DTME cross links occur via these maleimides. DTME crosslinking reagent contains a reducible disulfide (thiol) bond in the spacer arm that make it a good choice for various applications. The disulfide bond may be reduced with TCEP-HCl or DTT to reverse the crosslinked proteins.
DTME Crosslinker must be dissolved in an organic solvent, such as DMSO or DMF, then added to an aqueous crosslinking reaction. DTME crosslinking reagent can be used to crosslink intracellular proteins.

• Molecular Weight: 312.37
• CAS Number: 71865-37-7
• Spacer Length: 13.3 Å
• Chemical Formula: C12H12N2O4S2
• Alternative names: Dithiobismaleimidoethane; Dithio-bis-maleimidoethane; DTME Crosslinker
주문정보
| Cat. No | Product | Quantity |
| c1126-100mg | BS2G Crosslinker | 100 mg |
| c1126-1gm | BS2G Crosslinker | 1 gram |
| c1103-100mg | BS3 Crosslinker | 100 mg |
| c1103-1gm | BS3 Crosslinker | 1 gram |
| c1104-100mg | DSG Crosslinker | 100 mg |
| c1104-1gm | DSG Crosslinker | 1 gram |
| c1106-100mg | DSP Crosslinker | 100 mg |
| c1106-1gm | DSP Crosslinker | 1 gram |
| c1105-100mg | DSS Crosslinker | 100 mg |
| c1105-1gm | DSS Crosslinker | 1 gram |
| c1136-100mg | DSSeb Crosslinker | 100 mg |
| c1136-1gm | DSSeb Crosslinker | 1 gram |
| c1133-100mg | DST Crosslinker | 100 mg |
| c1107-100mg | DTSSP Crosslinker | 100 mg |
| c1107-1gm | DTSSP Crosslinker | 1 gram |
| c1130-100mg | EGS Crosslinker | 100 mg |
| c1130-1gm | EGS Crosslinker | 1 gram |
| c1129-100mg | Sulfo-EGS Crosslinker | 100 mg |
| c1129-1gm | Sulfo-EGS Crosslinker | 1 gram |
| c1138-50mg | DTME Crosslinker | 50 mg |